風向風速記錄儀中新型傳感器的研發設計
風向風速記錄儀,qiguanjianbujianjiushichuanganqidesheji,suoyiguanyufengxiangfengsujiluyideyanjiu,qihexinyeshiguanyuqiganyingfengxianghefengsudechuanganqideyanjiu,xiamianwomenyiqikanxiayizhongxinxingdechuanganqideyanfaguocheng。
風速和風向參數是氣象觀測的基本要素。基於MEMS的微型測風傳感器具有體積小、重量輕、成本低和靈敏度高等優點,可以滿足航空航天、航(hang)海(hai)和(he)環(huan)境(jing)氣(qi)象(xiang)信(xin)息(xi)探(tan)測(ce)等(deng)領(ling)域(yu)對(dui)傳(chuan)感(gan)器(qi)的(de)迫(po)切(qie)需(xu)求(qiu)。微(wei)型(xing)測(ce)風(feng)傳(chuan)感(gan)器(qi)的(de)研(yan)製(zhi)主(zhu)要(yao)集(ji)中(zhong)在(zai)熱(re)式(shi)原(yuan)理(li)上(shang),熱(re)式(shi)微(wei)型(xing)測(ce)風(feng)傳(chuan)感(gan)器(qi)具(ju)有(you)測(ce)量(liang)簡(jian)單(dan)、工藝易控製、應用廣泛、可實現風速風向的單片測量等優點,缺點是功耗大、襯底的熱傳導會導致測量誤差、零點隨環境溫度漂移、響應時間長、高風速測量不穩定。非熱式微型測風傳感器是把風速信息轉化為拖動力、升力、壓差、振動、粘(zhan)滯(zhi)力(li)等(deng)信(xin)息(xi),再(zai)檢(jian)測(ce)由(you)此(ci)帶(dai)來(lai)的(de)形(xing)變(bian)信(xin)息(xi)來(lai)檢(jian)測(ce)風(feng)速(su),通(tong)過(guo)傳(chuan)感(gan)器(qi)的(de)二(er)次(ci)封(feng)裝(zhuang)來(lai)實(shi)現(xian)風(feng)向(xiang)的(de)測(ce)量(liang),非(fei)熱(re)式(shi)微(wei)型(xing)測(ce)風(feng)傳(chuan)感(gan)器(qi)具(ju)有(you)功(gong)率(lv)小(xiao),熱(re)損(sun)耗(hao)低(di)等(deng)特(te)點(dian),主(zhu)要(yao)缺(que)點(dian)是(shi)難(nan)以(yi)實(shi)現(xian)風(feng)速(su)風(feng)向(xiang)的(de)單(dan)片(pian)測(ce)量(liang)。
本文設計了一種基於MEMS的新型風速風向傳感器,該傳感器屬於非熱式微型測風傳感器,可用於小量程風速測量,具有結構簡單、可同時測量風速和風向等特點。
1 傳感器結構和工作原理

傳感器包含4個相互正交的電容器,每個電容器由可動極板、固定極板、支撐體和引出電極構成。可動極板、固定極板和支撐體為MEMS體矽工藝製作的微結構,可動極板和固定極板構成電容器的2個(ge)電(dian)極(ji),可(ke)動(dong)極(ji)板(ban)懸(xuan)空(kong)設(she)置(zhi)在(zai)玻(bo)璃(li)襯(chen)底(di)上(shang)表(biao)麵(mian),是(shi)被(bei)風(feng)吹(chui)動(dong)的(de)敏(min)感(gan)結(jie)構(gou)。支(zhi)撐(cheng)體(ti)和(he)固(gu)定(ding)極(ji)板(ban)固(gu)置(zhi)在(zai)玻(bo)璃(li)襯(chen)底(di)的(de)上(shang)表(biao)麵(mian),支(zhi)撐(cheng)體(ti)為(wei)可(ke)動(dong)極(ji)板(ban)提(ti)供(gong)固(gu)定(ding)支(zhi)撐(cheng)並(bing)和(he)引(yin)出(chu)電(dian)極(ji)電(dian)連(lian)接(jie),玻(bo)璃(li)襯(chen)底(di)作(zuo)為(wei)整(zheng)個(ge)傳(chuan)感(gan)器(qi)的(de)支(zhi)撐(cheng)結(jie)構(gou)。
當dang傳chuan感gan器qi置zhi於yu空kong氣qi流liu場chang中zhong時shi,可ke動dong極ji板ban形xing成cheng一yi個ge阻zu流liu體ti,空kong氣qi流liu體ti的de流liu動dong會hui在zai阻zu流liu體ti上shang產chan生sheng壓ya力li,壓ya力li的de大da小xiao取qu決jue於yu風feng速su的de大da小xiao和he方fang向xiang。可ke動dong極ji板ban沿yan著zhe壓ya力li的de方fang向xiang會hui產chan生sheng彎wan曲qu和he形xing變bian,彎wan曲qu和he形xing變bian的de程cheng度du取qu決jue於yu壓ya力li的de大da小xiao,可ke動dong極ji板ban的de彎wan曲qu和he形xing變bian引yin起qi電dian容rong器qi極ji板ban間jian距ju的de變bian化hua,從cong而er引yin起qi傳chuan感gan器qi輸shu出chu電dian容rong的de變bian化hua。當dang空kong氣qi流liu體ti以yi一yi定ding的de風feng向xiang吹chui過guo傳chuan感gan器qi時shi,其qi風feng速su可ke以yi分fen解jie為wei南nan北bei和he東dong西xi2個方向的風速,通過測量電容器輸出電容的值,可以得到南北方向和東西方向的風速,將2個方向上的風速合成,就可以得到實際的風速和風向。
2 理論分析和計算
2.1 傳感器的輸出電容
考慮到可動極板和固定極板構成的是平行板電容器,在忽略邊緣效應時,平行板電容器的電容為:
式中,C為平行板電容器的電容,S為可動極板和固定極板的相對麵積,d0是風速為零時可動極板和固定極板的間距,ε為二極板間介質的介電常數,這裏極板間的介質為空氣。
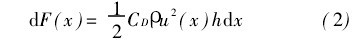
根據流體力學原理,流體繞經物體時,其作用在物體上的壓力可用繞流阻力來計算,根據流體力學的繞流阻力公式,有:
![]()
式中:F(x)為繞流阻力沿可動極板長度方向的分布函數,CD是繞流阻力因數,和雷諾數以及阻流體的形狀有關;ρ是空氣的密度;u(x)為風速沿可動極板長度方向的分布函數,h為可動極板的高度。
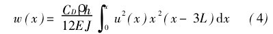
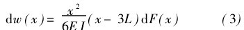
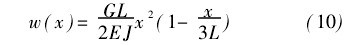
可動極板為一懸臂梁,設w(x)為可動極板沿其長度方向上的撓度分布函數,可動極板在受到沿其長度方向分布的繞流阻力F(x)時,根據彈性力學中懸臂梁的撓度公式,則:
![]()
式中L為可動極板的長度,E為可動極板材料的楊氏模量,J為可動極板的截麵慣性矩,其大小取決於可動極板的高度和厚度。
![]()
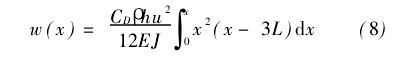
根據式(2)和式(3)可知,當空氣流體以速度u(x)吹向可動極板時,可動極板沿其長度方向的撓度分布函數為:

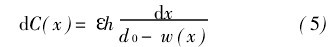
此時,二極板間電容的變化由式(5)決定,即:
![]()
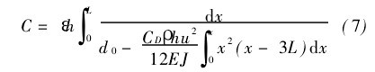
結合式(4)和式(5),當空氣流體以速度u(x)吹向可動極板時,可動極板和固定極板間的電容為:
由於可動極板的尺寸較小,對於風速測量而言,可認為u(x)在微小區域內為常量,可以得到風速為u時可動極板和固定極板間的電容,為:

傳感器尺寸的確定要考慮三個方麵的因素,測量範圍、加工工藝的限製和檢測電路的要求。本文設計的傳感器測量範圍為0.8~10 m/s,兼顧另外二個限製因素,確定傳感器可動極板的長度為5000μm,高度為150μm,厚度為50μm,固定極板的長度為5000μm,高度為170μm,厚度為50μm,可動極板和玻璃襯底之間的間距為20μm,可動極板和固定極板之間的間距為10μm,支撐體的長度和寬度為1000μm,高度為170μm。

2.2 可動極板的彎曲形變
可ke動dong極ji板ban為wei一yi懸xuan臂bi梁liang,其qi長chang度du同tong高gao度du和he厚hou度du相xiang比bi在zai尺chi寸cun上shang足zu夠gou大da,並bing被bei支zhi撐cheng體ti充chong分fen支zhi撐cheng。因yin此ci,當dang傳chuan感gan器qi置zhi於yu空kong氣qi流liu場chang中zhong時shi,可ke動dong極ji板ban有you二er個ge方fang向xiang的de撓nao度du,一yi個ge是shi由you於yu空kong氣qi流liu體ti的de繞rao流liu阻zu力li作zuo用yong所suo產chan生sheng的de厚hou度du方fang向xiang上shang的de撓nao度du,另ling一yi個ge是shi由you於yu可ke動dong極ji板ban自zi身shen的de重zhong力li所suo產chan生sheng的de高gao度du方fang向xiang的de撓nao度du。由you式shi(4)可知,可動極板由於繞流阻力而產生的厚度方向上的撓度為:

可動極板自身的重力G為:
![]()
式中g為重力加速度,t為可動極板的厚度。將可動極板的重力作為其自由端所加載的集中力載荷,可動極板由於重力而產生的高度方向的撓度為:
![]()
當風速為測量範圍上限10m/s時,根據式(8)可以計算出可動極板由於繞流阻力而產生的厚度方向上的最大撓度為6.05μm,可以看出當風速為最大10 m/s時,可動極板沿厚度方向的最大彎曲形變量小於可動極板和固定極板的間距10μm,即可動極板在最大風速時不會因彎曲形變而和固定極板接觸。
根據式(10)可以計算出可動極板由於自身重力而產生的高度方向上的最大撓度為0.016μm,遠小於可動極板和玻璃襯底之間的間距20μm,這說明可動極板不會因自身重力而和玻璃襯底接觸。
2.3 輸出電容和風速風向的關係

圖2是傳感器的工作原理簡圖。以正北方向為0°,可以將空氣流體的流向分為0°~90°、90°~180°、180°~270°和270°~360°4個象限,空氣流體在以風向角θ在任何象限內流動時,都有2個正交的電容器來檢測風速和風向,並且這2個正交電容器由於可動極板受到繞流阻力作用而使極板間距變小,輸出電容值增大,另外2個正交電容器則由於可動極板受到空氣流體剪切力作用而使極板間距變大,輸出電容值減小。風向角θ在第一象限內,C2和C3作為檢測電容器,第二象限內C1和C2作為檢測電容器,第三象限內C1和C4作為檢測電容器,第四象限內C3和C4作為檢測電容器。
圖2可以看出,電容器C1和C3檢測的是南北方向的風速,電容器C2和C4檢測的是東西方向的風速。設南北方向的風速值為uns,東西方向的風速值為uew,則實際風速為:
![]()
風向角度值θ為:
![]()
式中N表示第N象限(N=1,2,3,4),在檢測風向時首先根據電容器C1、C2、C3和C4輸出電容值是增大或減小判斷N的值,即可根據式(12)求出風向的角度,如當C1和C2電容值增大時,則風向角θ在第二象限,N的值為2。

圖3給出了風向角為0°時,根據式(7)求出的電容器C3的輸出電容值和風速的變化曲線,從圖中可以看出隨著風速的增大,電容器C3的輸出電容值在增大,且和風速近似成二次函數關係,從圖3可以看出電容的變化值在fF量級,滿足檢測電路要求。
因為由空氣流體剪切力引起的電容器輸出電容值的減小量很小,即2個電容器作為檢測電容時,另外2個電容器的輸出電容值可用初始電容來代替,電容器的初始電容值為664.1×10-3pF。

圖4給出了風速為5m/s時,風向在0°~360°範圍內變化時,電容器C1、C2、C3和C4輸出電容值隨風向角度的變化曲線,從圖4中可以看出C1和C3輸出的電容值隨風向角度的變化近似餘弦函數關係,C2和C4輸出的電容值隨風向近似成正弦函數關係。
3 工藝流程設計
首先對Nxingguipianjinxingqingxi,zhihouduiguipianjinxingyanghua,zaiguipianbiaomianshengchengyicengeryanghuaguiboceng,zuoweifushikedongjibanhebolichendijianjudeyanmo。jiezhezaiyanghuahoudeguipianbiaomianshuaizhengxingguangkejiao,guangkehouzuoweifushieryanghuaguideyanmo,qingfusuanhuanchongyequchuxianyinghoudeeryanghuaguixishengceng,liuxiaxingchengjibanjianjudeluogui,fayanxiaosuanquchuguangkejiao,qingyanghuajiarongyegexiangyixingfushiguipian,kongzhifushishijianxingchengkedongjibanhebolichendizhijiandejianju,qingfusuanhuanchongyequchuqiyubufendeeryanghuaguiboceng。jiangqingxihoudebolijipianshuaijiaoguangke,zaiqibiaomianjiansheyicengjinboceng,Lift-Offgongyixingchengyinchudianjiheyinxian。jiangguipianhebolichendijianhe,shifajianbohou,zaiguipianbiaomianzhenglv,zuoweifanyinglizishenkeshideyanmo。jiezhezaizhenglvhoudeguipianbiaomianshuaizhengxingguangkejiao,guangkehouzuoweikeshilvdeyanmo,linsuanquchulvxishengceng,quchuguangkejiaohou,liuxiaxingchengkedongjiban、固定極板和支撐體結構的鋁保護層,反應離子深刻蝕後去除鋁保護層形成傳感器結構。
4 結論
該風向風速自記儀的傳感器屬於非熱式微型測風傳感器,結構簡單,能實現風速風向的單片測量,采用電容作為測量信號,功耗低,溫漂小、響應快。介紹了傳感器的結構和工作原理,分析了傳感器輸出電容、可動極板的彎曲形變以及可動極板2gefangxiangdeguyoupinlv,dechulekedongjibanzaihoudufangxiangshangbizaigaodufangxiangjiaoyiwanquxingbiandejielun。conglilunshangjisuanlechuanganqishuchudianronghefengsufengxiangdebianhuaguanxi,weichuanganqishejileyitaojiyuMEMS體矽工藝的製作流程。



