風向風速監測儀的光點位置敏感測試係統的設計
風速風向傳感器在海洋、氣象、環境監測、水利、軍事等領域的應用越來越廣泛。與傳統的風速風向記錄儀等測量係統相比,固態風速傳感器因體積小、無轉動結構、更易維護得到了普遍的應用.根據傳感器的工作原理可分為熱式和非熱式傳感器,其中利用各種力學舊J、光學、聲學、電磁學等原理的非熱式傳感器由於功耗小、無零點漂移、測試方法多樣而受到人們越來越多的關注。本文設計了一種利用位置敏感檢測器(PSD)來構建的非熱式風速風向傳感器,通過將光點位移與風向和風速的關係標定,實現了風向和風速的同時檢測.yuqitafeireshifengsufengxiangchuanganqixiangbi,gaichuanganqijiegoujiandan,celiangfanweida,wuceshimangdian,ceshideshishixingqiang,xinhaochulidianlujiandan,tongshijibenbushouwaijiehuanjingwendudeyingxiang。
基於PSD的風速風向測量係統的結構及工作原理:測試係統的結構如圖1所示.利用一個帶激光源發射裝置並具有一定彈性的圓柱體作為風敏杆,用PSD作為測試芯片.在風速和風向的作用下,風敏杆發生傾斜,發射出的激光照射在PSD的某一位置,風速越大,風敏杆傾斜的角度越大,光點偏離PSD中心點的距離也就越遠.所以可以用光點偏離中心點D的距離尺來反應風速的大小.從圖中可看出,R=x2+y2,其中X,y為光點位置坐標器。

圖1測試係統結構和工作原理示意圖
同時風向不同,照射在PSD上的光點位置的x,y的比值也不同,所以風向可用角度口來表示,tan0=∥X因而光點在PSD上的位置,即X,y坐標的變化對應了風速和風向的改變,當測出x,y的值,通過一定的標定就能測出相應的風速和風向。
1 PSD位置檢測原理

光敏位置檢測器是一種基於半導體橫向光電效應的光電檢測器件∞J。是一種能夠連續檢測光點位置的非分割型光電轉換元件.實用的PSD一般采用PIN結構"1(見圖2(a)),表麵為P層感光麵,兩邊各有一輸出電極,中間是1層,底板為高摻雜的N層,接反偏電壓協.當有入射光照射到PSDdeguangminmianshangmouyidianshi,bandaotixishouguangzihoujifachanshengguangshengzailiuzi,zaihengxiangguangdianchangzuoyongxia,zailiuziliuxiangliangduandeshuchudian,xingchengshuchudianliu。qiebilijiangsuiguangyuanweizhideyidongergaibian.所以可根據各電極上收集到的電流信號比例來確定光點的位置。PSD也是一種光電流分配器。
(a)結構
(b)簡化等效圖
1.1一維PSD檢測原理
一維PSD檢測器的等效電路圖如圖2(b)所示.設光點照射在PSD器件光敏層的A點,距中心距離為x,設P層的電阻是均勻的,從A點到PSD兩邊的等效電阻分別為尺,和尺:,負載電阻為尺L,且尺1和尺2遠大於RL,兩極間的距離為2L,流過兩極的電流分別為,。和,2,總的光生電流為厶.根據描述橫向光電效應的Lucovsky方程最終得

1.2二維PsD檢測原理

采用如圖3所示的二維PSD結構,其測試原理與一維PSD類似,有一個長寬均為L的正方形感光麵,四角有4條對稱的直角電極作為信號輸出,以感光麵的中心作為坐標原點.當有光源照射到A點時,會產生大量的光生載流子,在反偏電壓及橫向電場的作用下,進行電荷分配流向4個電極,形成4個輸出電流.4個輸出電流的比例大小反應了光點在光敏麵上的二維位置。

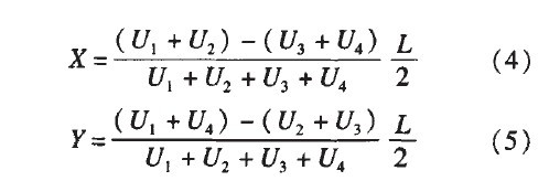
在PSD的4個輸出端分別接相同的負載電阻並測負載電阻上的壓降,從而將輸出電流信號的測試轉變為輸出電壓的測試.則有

2 二維風速風向傳感器係統的設計及測試
本係統采用的二維PSD的有效光敏麵積為15mmx15mm,漏電流為200肚,將紅光激光二極管固定在圓柱形橡膠風敏杆頂端作為光源,風敏杆的直徑為7min,高度為2.3 mm,激光二極管距PSD的距離為5 mm,最大風速時風敏杆頂端的彎曲撓度為5.5mm.測試係統如圖4所示。

PSD外接4個相同負載的電阻,測試對角輸出負載的壓降差,將測試信號進行處理後顯示與風向和風速的關係.測試係統示意圖如圖5所示。

3風速和風向的測試結果與分析
3.1風速測試

按照如圖6所示的風向進行風速測試,以3 m/s的級別遞增風速.多次測量,測試數據重複性較好.取其中一組數據處理後得到的風速測試結果如圖7所示。

3.2風向測量
風速固定在18m/s,改變風向,測試△鞏和AU,根據式(6)得到風向的測試曲線,見圖8。

3.3測試結果分析
從風速的測試曲線可看出,在0~9m/s的小風速情況下,係統靈敏度較低,在中風速及大風速情況下,係統靈敏度較高且較穩定,可達到0.15 mV/(m•s-1),產生這種狀況的原因主要與橡膠風敏杆材料的彈性有關.由於所選橡膠的彈性較低,在低風速情況下反應不夠靈敏,風敏杆彎曲角度小,因此在PSD上(shang)光(guang)點(dian)移(yi)動(dong)範(fan)圍(wei)也(ye)小(xiao)。小(xiao)風(feng)速(su)下(xia)提(ti)高(gao)靈(ling)敏(min)度(du)可(ke)通(tong)過(guo)外(wai)接(jie)放(fang)大(da)器(qi)來(lai)實(shi)現(xian)。從(cong)圖(tu)中(zhong)也(ye)可(ke)看(kan)出(chu)風(feng)速(su)和(he)尺(chi)之(zhi)間(jian)並(bing)非(fei)呈(cheng)單(dan)一(yi)的(de)線(xian)性(xing)關(guan)係(xi)。這(zhe)是(shi)由(you)於(yu)根(gen)據(ju)伯(bo)努(nu)利(li)方(fang)程(cheng)得(de)出(chu)的(de)風(feng)力(li)產(chan)生(sheng)的(de)風(feng)壓(ya)與(yu)風(feng)速(su)之(zhi)間(jian)為(wei)非(fei)線(xian)性(xing)關(guan)係(xi)所(suo)致(zhi).風速與R之間的函數關係,可進一步通過對橡膠進行楊氏模量分析得到。
從風向的測試結果看出測試數據與實際風向基本一致,平均誤差小於70。測試誤差的主要來源為:起始時零點位置的調整還有一定的偏差;彈性風敏杆采用手工加工,在各個方向的彈性均勻性有一定誤差;由於采用橡膠材料製作,彈性風敏杆的回複性還不夠,從而使一個周期測試後產生一定的回滯效應。另外,PSD光敏麵上的材料不可能絕對均勻,各個方向的電阻率存在差異,使得測量輸出存在誤差。
4 結語
本文設計風向風速監測儀的傳感係統將風速和風向的信號轉變為光信號,利用PSD對光點位置的定位實現對風速和風向的檢測。該傳感器在大風速下具有較高且較穩定的測試靈敏度,風向的平均測量誤差小於70。該傳感係統具有結構簡單,測試方便,響應速度快,不受外界環境溫度影響等特點,通過對測試係統的改進,性能可以進一步提高。



